知覚心理学
2016年度 前期開講・ 金曜1限・清心館507 登録者数 名
受講生で質問がある方はこちらにご連絡下さい。 → 北岡明佳(本講義の担当者)に電子メールを出す
2016年4月4日より
デモ・資料(2015年のものを順次改変)
| 週 | 講義内容 | デモ・リンク・ダウンロード資料など | |||
1 2016年4月8日 |
知覚(perception)とは なぜ世界は安定して見えるのか? → 恒常性(constancy) <教科書・1章> |
教科書 北岡明佳(編著) (2011) いちばんはじめに読む心理学の本⑤ 知覚心理学 ―心の入り口を科学する― ミネルヴァ書房 amazon (2011年4月刊、総ページ数は297ページ) 北岡執筆部分の図一覧 ![]() ![]() 京友禅とのコラボ ![]() 北岡明佳 (2016) 「博士が教える科学教室 錯視工作」 (講演・2016年2月27日(土)14:00-15:30・大垣市スイトピアセンター・創作実習室) 発表に使用したウェブページ ●大きさの恒常性 ![]() 2014年4月の京都御苑の写真を例に取る。 <「大きさの恒常性」という名の錯視> Illusion Forumの大きさの恒常性のページ ![]() 大きさの恒常性を惑わすだまし絵表現@称名滝(富山県) |
|||
2 2016年4月15日 |
恒常性(constancy) <教科書・1章> |
北岡明佳(編著) (2011) いちばんはじめに読む心理学の本⑤ 知覚心理学 ―心の入り口を科学する― ミネルヴァ書房 amazon (2011年4月刊、総ページ数は297ページ) 北岡執筆部分の図一覧 ●形の恒常性 ![]() shape_constancy2015.doc ![]()
「逆遠近法」("reverspective")はアーテイスト Patrick Hugh の作品で有名。日本では、関西大学の Norman Cook 先生が研究している。
シンプル版 Copyright Akiyoshi Kitaoka 2014 (March 5) 錯視工作3 2 1 ●明るさの恒常性 ![]() ![]() 明るさの恒常性の例(Adelson先生のページ) ![]() 明るさの恒常性の例(北岡の錯視クイズ) ●色の恒常性 色の恒常性の例(Purves先生のページ) ![]() ![]() ![]() 色の恒常性5 産経新聞 平成27年(2015年)3月7日土曜日夕刊 p.8 社会面
「ドレス色問題」の講義内調査研究のプリントファイル |
|||
3 (2016年4月22日) |
恒常性(constancy)・錯視(visual illusion) <教科書・1章・2章> |
北岡明佳(編著) (2011) いちばんはじめに読む心理学の本⑤ 知覚心理学 ―心の入り口を科学する― ミネルヴァ書房 amazon (2011年4月刊、総ページ数は297ページ) 北岡執筆部分の図一覧 ●視覚的補完 ![]() カニッツァの正方形 ![]() エーレンシュタイン図形 ![]() 水彩錯視 Pinna, B., Brelstaff, G., and Spillmann, L. (2001) Surface color from boundaries: A new ‘watercolor’ illusion. Vision Research, 41, 2669-2676. ![]() 宗宮錯視(波線色錯視) Sohmiya, S. (2007) A wave-line colour illusion. Perception, 36, 1396-1398. ●図と地 図地反転 ![]() ルビンの盃(北岡改変版) 図地反転のオブジェの例 T接合部 太陽の雲くぐり錯覚 ![]() 奥行き不可能図形 ![]() 図地分離の例 ![]() 図地分離の例(アンダーソンの錯視) (Anderson and Winawer, 2005) |
|||
| 4 (2016年4月29日) |
錯視(visual illusion) <教科書・2章> |
北岡明佳(編著) (2011) いちばんはじめに読む心理学の本⑤ 知覚心理学 ―心の入り口を科学する― ミネルヴァ書房 amazon (2011年4月刊、総ページ数は297ページ) 北岡執筆部分の図一覧 ●透明視 ![]() 山が透明に見える錯視(高島翠先生撮影) ![]() ![]() ビルが透明に見える錯視 透明視の分類 ●錯視 幾何学的錯視(形の錯視)一覧 (配布プリント) 2014年4月23日に発見の 「静脈錯視」 ![]() 錯視のカタログのページ |
|||
| 5 (2016年5月6日) |
錯視(visual illusion) <教科書・2章> 色と明るさの知覚 <教科書・3章・4章> |
北岡明佳(編著) (2011) いちばんはじめに読む心理学の本⑤ 知覚心理学 ―心の入り口を科学する― ミネルヴァ書房 amazon (2011年4月刊、総ページ数は297ページ) 北岡執筆部分の図一覧
左右の写真は右方向に傾いたように撮影した斜塔であるが、右の写真の傾きが大きく見える(Kingdom et al., 2007)。 Kingdom, F. A. A., Yoonessi, A., and Gheorghiu, E. (2007) The Leaning Tower
illusion: a new illusion of perspective. Perception, 36, 475-477. |
|||
6 (2016年5月20日) |
色と明るさの知覚 <教科書・3章・4章> |
色の知覚 ![]() ![]() ヨーハン・ヴォルフガング ・フォン・ゲーテ (著), 高橋義人 ・南大路振一・ 中島芳郎・前田富士男・ 嶋田洋一郎 (訳) (1999) 色彩論 【完訳版】 工作舎 RUNNERS蔵書 |
|||
7 (5月27日) |
色と明るさの知覚 <教科書・3章・4章> |
![]() ![]() (adopted from http://en.wikipedia.org/wiki/File:CIE-1931_diagram_in_LAB_space.svg) ![]() 東北大学の栗木一郎先生作の色平面 色彩輝度計 JIS 標準色票 (JIS Z 8721) 例: あざやかな赤なら、5R 4/14 と表す。 ![]() 泰羅雅登・中村克樹(監訳) (2006) カールソン神経科学テキスト 原書8版 ―脳と行動― 丸善出版 pp. 169-182 (視覚) RUNNERS蔵書 |
|||
| 8 (2016年6月3日(金) |
色と明るさの知覚 <教科書・3章・4章> |
色立体視2 北岡明佳 (2014) 「色の錯視と色覚および神経活動」 (日本色彩学会第20回視覚情報基礎研究会・2014年6月28日(土)14:00-15:00・産業技術総合研究所(臨海副都心センター)別館11階 会議室1~2) 発表に使用したウェブページ Kitaoka, A, Kuriki, I. And Ashida, H. (2006) The center-of-gravity model of chromostereopsis. Ritsumeikan Journal of Human Sciences, 11, 59-64. PDF 平成15・16・17年度科学研究費補助金 基盤研究(B)(1)(研究代表者・北岡明佳) 「進出色・後退色研究の新たな展開:軸上色収差説を修正して 復活させる」 課題番号15330159 (平成15年度 640万円、平成16年度 150万円、平成17年度 180万円) 報告書(PDF) 報告書原稿(Word) ![]() 明るさの錯視の一覧 (配布プリント) 「物理的」な「明るさ」の測定 → 輝度計と照度計
錯視的階段状ゲルプ効果など(レティネクス理論の説明用) ![]() |
|||
9 (2016年6月10日) |
色と明るさの知覚 <教科書・3章・4章> |
側抑制(lateral inhibition)に関係する錯視 ![]() シュブルール錯視(Chevreul illusion) ![]() マッハの帯(Mach band) ![]() クレイク・オブライエン・コーンスイート効果(Craik-O'Brien-Cornsweet effect) ![]() クレイク・オブライエン・コーンスイート効果の色バージョン 新しい明るさの指標 Feu (フー) (Panasonicのサイト) |
|||
10 (6月17日) |
色と明るさの知覚 <教科書・3章・4章> |
![]() 明るさの錯視の一覧 (配布プリント) の説明 |
|||
11 (6月24日) |
運動視 <教科書・5章> |
静止画が動いて見える錯視いろいろ ![]() <配布プリント> 運動残効の例 運動残効についての詳細は蘆田宏先生のページ 仮現運動の例 コルテの第三法則 短距離運動(short-range motion)のデモ |
|||
12 (7月1日) |
運動視 <教科書・5章> |
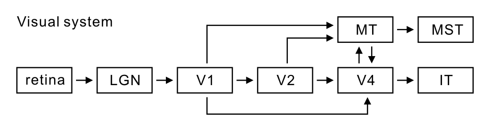
フットステップ錯視のデモ リバース・ファイのデモ Anstis先生のサイト なめらかなファイとリバース・ファイのデモ(Kitaoka, 2006) Gregory先生のサイト ファイとリバース・ファイの最小単位(Kitaoka, 2006 PDF) Kitaoka, A. (2006) Configurational coincidence among six phenomena: A comment on van Lier and Csathó (2006). Perception, 35, 799-806. animations 4ストローク仮現運動 (Mather先生のデモ) 二次運動(振幅変調パターンの運動) 二次的フットステップ錯視 仮現運動の反転図形の例 タイプIIプラット運動の例 ![]() プラッド(plaid) II ![]() 正弦波縞(sinusoidal grating)・方位は縦 + ![]() 正弦波縞(sinusoidal grating)・方位は横 運動対比のデモ(うまくいかない) 運動同化の例(静止画が動いて見える錯視へのキャプチャ) 運動透明視のデモ(中央大学山口研) 大脳視覚経路(簡単な図)
from: Logothetis, N.K. (1999). Vision: a window on consciousness. Scientific American (November), 281, 44-51. |
|||
13 (7月2日(土)補講) |
<試験範囲外> |
北岡明佳 (2016) 「錯視とエッシャー」 (2016年6月18日(土)14:00-15:30・茨城県近代美術館) 発表に使用したウェブページ ![]() |
|||
14 (7月8日) |
立体視 <教科書・6章> |
バイオロジカル・モーション(Niko Troje先生のサイト) 交差と反発知覚 おばけによるなめらかな運動知覚 ハイダーとジンメルのデモ(YouTube) 以上、運動視 以下、立体視 医学博士 湖崎克 選 「最新式実体鏡」 半田屋商店 (心理学専攻にあります) ![]() これはステレオスコープです。 ![]() これはステレオグラムです。平行法用。ノニウス付き。 100円ショップの老眼鏡を用いた平行法 ![]() ステレオグラムのページ ステレオグラム5 4 3 2 1 お奨めステレオ本 ランダムドットステレオグラム簡易作成ソフト ランダムドットステレオグラム簡易作成ソフト2 線遠近法 きめの勾配 透明視の説明プリント (配布せず) 陰影 クレーター錯視(明るさによる凹凸知覚) 重なりの要因 (T接合部の効果) キング・クィーン・ジャック錯視 形の恒常性 ![]() shape_constancy2015.doc ホロウフェース錯視と逆遠近法 ![]() 逆遠近法 ![]() 有名なドラゴンのだまし絵紙細工のページです。 運動視差のデモ(John H. Krantz先生のサイト) 運動視差のデモ(坂野雄一先生のサイト) 運動性奥行き効果(kinetic depth effect)の例(茅原伸幸様のシルエット錯視) 運動性奥行き効果(kinetic depth effect)の例(Tadamasa Sawadaのムービー) ステレオ運動効果(stereo kinetic effect)の例(バッハ先生のページ) ステレオ運動効果(stereo kinetic effect)の例(マーザー先生のページ) プルフリッヒ効果観察用運動刺激 (片方の眼の前に明るさを低減するフィルターをかけて両眼で観察する) 色立体視のページ 色立体視3 2 1 |
|||
15 (7月15日) |
顔の知覚 <教科書・7章> 聴覚 <教科書・9章> |
平均顔(東京大学 原島・苗村研) 各国の女性の平均顔(著作権の問題があるかもしれないページへのリンクのため要注意) 平均顔作成ツール(東京大学 原島・苗村研) 顔画像合成システム「FUTON」(ATR-Promotions、心理学専攻にあります) 紡錘状回(Wikipedia) サッチャー錯視と顔倒立効果 ![]() モナリザのボガート錯視(目のみ反転) ![]() モナリザのボガート錯視 Bogart illusion (Sinha, 2000) Sinha, P. (2000). Here's looking at you, kid. (The perception of gaze direction) Perception, 29, 1005-1008. ![]() モナリザのウォラストン錯視(ワラストン錯視) ダリ 「リンカーン地中海を見つめるガラ」(Lincoln in Dalivision) ( Gala looking at the Mediterranean Sea which at a distance of 20 meters is transformed into the portrait of Abraham Lincoln (Homage to Rothko)) ハイブリッド画像(Oliva先生のページ) ![]() Livingstone先生のモナリザの微笑の研究 "The elusive quality of the Mona Lisa's smile can be explained by the fact that her smile is almost entirely in low spatial frequencies, and so is seen best by your peripheral vision (Science, 290, 1299)." エクマン(Paul Ekman)の顔表情研究 驚き 恐怖 嫌悪 怒り 幸福 悲しみ FACS - Facial Action Coding System FACSの例 動物行動学・進化心理学における顔の考察 マンドリル マグリットの "Le Voil" 2016年度は以上 |
|||
| |
|||||
| |
|||||
14 |
顔の知覚 <教科書・7章> 聴覚 <教科書・9章> |
エクマン(Paul Ekman)の顔表情研究 驚き 恐怖 嫌悪 怒り 幸福 悲しみ 顔倒立効果、サッチャー錯視 イルージョン・フォーラム(Illusion Forum)(NTT CS研) 連続聴効果のデモ(NTT CS研) ![]() 参考 視覚での補完・・・上は補完しにくく、下はしやすい。 ![]() 参考 視覚での補完・・・Bはわかりにくく、Dはわかりやすい。 マスキング可能性の法則のデモ(音圧の効果)(NTT CS研) マスキング可能性の法則のデモ(周波数の効果)(NTT CS研) 220Hz 純音(芦田宏先生作) pure220.wav 440Hz 純音(芦田宏先生作) pure440.wav 880Hz 純音(芦田宏先生作) pure880.wav 逆転再生のデモ(NTT CS研) ![]() 参考 視覚での全体での逆転と部分での逆転 ミッシング・ファンダメンタルのデモ(NTT CS研) |
|||
15 |
7月20日(月)最終回 多感覚相互作用 <教科書・11章> 時間知覚と注意 <教科書・13章> |
ダブルフラッシュ錯覚 (NTT CS研) マガーク効果 (NTT CS研) McGurk, H. and MacDonald, J. (1976). Hearing lips and seeing voices. Nature, 264, 746-748. Abstract 音脈分凝 (NTT CS研) 交差・反発現象への音の効果 (NTT CS研)
「ネッカーの立方体の回転」 ネッカーの立方体が上から見て時計回りに回転して見えている時もあれば、反時計回りに回転して見えている時もある。 produced by Tadamasa Sawada: requested by Akiyoshi Kitaoka 2014 (June 25)
|
|||
| バーチャルリアリティ <教科書・12章> |
バーチャルリアリティのイメージ 小説、マンガ、映画、ゲーム 借景の例(妙満寺) 【公式】TOKYO STATION VISION / 東京駅 プロジェクションマッピング だまし絵 ヘッドマウントディスプレー(HMD) データグローブ アバター(映画) アバター(ゲーム) 権化・権現・化身 ヴィシュヌ 拡張現実(AR) Google Glassについてのニュース(2014年7月4日) Google Glassについてのニュース(2015年6月5日) 大型没入ディスプレー(IPT)いろいろ CAVE (イリノイ大学EVL(Electronic Visualization Laboratory)で開発された4面の没入型システム CABIN (東京大学IMLにある5面スクリーンをもった没入型多面ディスプレイ) COSMOS ( 岐阜県情報技術研究所にある没入型6面立体視ディスプレイ ) BMI 研究 ベクション Oculus Rift を用いたVRアトラクション |

加法的色変換(半透明感) Additive color change (giving translucent appearance)

乗法的色変換(クリアな透明感) Multiplicative color change (giving transparent appearance)
(以下、2012年度のデモ・資料)
| 講義内容 | ダウンロード資料など | その他 |
眼球運動 <教科書・8章> |
- | フィレーネ錯視とアウベルト・フライシル現象観察用運動刺激 トロクスラー効果 デモ1 デモ2 「ライラックチェイサー」 ジター錯視(NTT CS研のサイト) ジター錯視(mov file、村上先生作) ジター錯視のような錯視(mov file、村上先生作) 「オンライン・ジター」 Murakami, I. (2003). Illusory jitter in a static stimulus surrounded by a synchronously flickering pattern. Vision Research, 43, 957-969. ![]() 北岡作「蛇の回転」(2003年制作) (注! 学生の皆さんの中でも、50人に1人程度の人はこの錯視が起きないことがわかってきています。しかし、それは個人差です。病気などではありませんのでご安心下さい。) Otero-Millan, J.,Macknik, S. L., and
Martinez-Conde, S. (2012). Microsaccades and Blinks Trigger Illusory Rotation in
the “Rotating Snakes” Illusion. Journal of Neuroscience, 32,
6043-6051.PDFMurakami, I., Kitaoka, A. and Ashida, H. (2006) A positive correlation between fixation instability and the strength of illusory motion in a static display. Vision Research, 46, 2421-2431. PDF 「蛇の回転」の文献のリスト 「視運動性眼振」と板書すべきところを「視誘導性眼振」と誤記しました。訂正致します。 |
嗅覚 <教科書・10章> |
- | - |
多感覚相互作用 <教科書・11章> |
- | ダブルフラッシュ錯覚 (NTT CS研) マガーク効果 (NTT CS研) 音脈分凝 (NTT CS研) 交差・反発現象への音の効果 (NTT CS研) |
バーチャルリアリティ <教科書・12章> |
- | HMDの例 (SONY) 心理学機材いろいろのページ (心理学専攻のページ) データグローブ (ソリッドレイ研究所のページ) CAVE (イリノイ大学EVL(Electronic Visualization Laboratory)で開発された4面の没入型システム CABIN (東京大学IMLにある5面スクリーンをもった没入型多面ディスプレイ) COSMOS ( 岐阜県情報技術研究所にある没入型6面立体視ディスプレイ ) |
時間知覚と注意 <教科書・13章> |
「踊るハート達」![]() <配布プリント> |
大きいと長く感じる錯視? (北岡のデモ) 充実時程錯覚 (北岡のデモ) 単純反応時間測定プログラム (北岡のデモ) フットステップ錯視 (Anstis先生のページ) フラッシュラグ効果 (Bach先生のページ) フラッシュ・ラグ効果の説明 (一川先生のページ) 線運動錯視 (北岡のデモ、少し後ろあたりにある) 結合探索を用いた隠し絵 (選択的注意のデモ) 変化盲(変化の見落とし) (北岡のデモ) 変化盲(変化の見落とし) (J.K. O'Regan, R.A. Rensink & J.J. Clark) 運動誘導性消失錯視(motion induced blindness) (Bonneh先生のページ) 運動誘導性消失錯視(motion induced blindness) (Bach先生のページ) |
美の知覚 <教科書・15章> |
「蛇の回転」 ![]() <配布プリント> |
ひまわりの写真(研心館の前にて撮影、2009年9月22日) 京都御苑で拾った松かさ(2009年1月8日) ![]() 黄金比とフィボナッチ数列 黄金角の螺旋のページ 黄金比 約 1.618 黄金角 約 137.5度 <下記、実行プログラムはWindows上でのみ動作します。> 黄金螺旋描画プログラム 実験美学について、あるやりとりの紹介(ウェブ非公開) 野口薫(編) 美と感性の心理学-ゲシュタルト心理学の新しい地平 日本大学文理学部 (2007年6月刊行) 錯視と美の関係 Stevanov, J., Marković, S., and Kitaoka, A. (2012). Aesthetic valence of visual illusions. i-Perception, 3(2), 112–140. PDF 運動野(大脳皮質一次運動野) |
ゲシュタルト心理学 2 |
- |
よい連続の要因の例(埋没図形) 配布プリント pp. 104-107 配布プリント 松田先生の「視知覚」 pp. 88-91 ここでちょっと隠し絵の話 1. よい連続の要因を用いた隠し絵 2. 変化の見落とし(change blindness) 3. 結合探索を用いた隠し絵 4. ムーニーフェースと2値化画像(グレゴリーの犬*) *インテリジェント・アイより 5. 隠し字 5. ハイブリッド画像(MITのOliva先生のページ) 6. ダブルイメージ → だまし絵展(名古屋市美術館) |
ゲシュタルト心理学 3 立体視 1 |
明るさの錯視とゲシュタルト心理学的説明 ベナリ図形 コフカの環 (上の2つがコフカの環で、下のはエーデルソンのコフカの環) ホワイト効果(White, 1979) 土牢錯視(Bressan, 2001) 配布プリントは下記講演のために作成したものである。 Kitaoka, A. (2008) An overview of illusions of brightness. (Professor Mark McCourt's talk in Ritsumeikan, December 8, 2008) 発表に使用したウェブページ 色と明るさの錯視の作り方を示したページ 立体視 |
|
立体視 2 色の知覚 1 |
加法混色・減法混色 色の知覚と錯覚 |
色彩輝度計 JIS 標準色票 (JIS Z 8721) 例: あざやかな赤なら、5R 4/14 と表す。 配布物: 鉄道ジャーナル2005年461号 pp. 48-49 配布物: CIE色度図 色立体視・進出色・後退色・膨張色・収縮色 |
| 色の知覚 2 | - | |
| 運動視とフーリエモデル | 静止画が動いて見える錯視 フーリエモデルのプリント |
仮現運動・運動残効など コルテの法則など (他大学のページ) 運動視差(motion parallax) 静止画が動いて見える錯視の分類 空間周波数のプログラム |
| 聴覚の基礎 | - | |
| 音声の知覚 | - | マガーク効果のデモ(NTT CS基礎研) |
| その他の知覚 | - | - |
資料の印刷はエプソンのインクジェットプリンタで最も適正に仕上がります。欲を言いますと、スーパーファイン紙以上の上質の紙(スーパーファイン紙・マット紙・フォト紙・写真用紙等)を使いますと、きれいに印刷できます(紙に合った印刷モードで印刷しましょう)。白黒モードかカラーモードかで仕上がりが異なる場合があります。レーザープリンタはトナーのむらが出ますし、紙が反りますのであまり良くないです(昔はレーザープリンタと言えば最高品質の代名詞でしたのにね)。
教科書
北岡明佳(編著) (2011) いちばんはじめに読む心理学の本⑤ 知覚心理学 ―心の入り口を科学する― ミネルヴァ書房 ![]()
(2011年4月刊、総ページ数は297ページ) 北岡執筆部分の図一覧

第1章 恒常性 (立命館大学・北岡明佳)
第2章 錯視 (立命館大学・北岡明佳)
第3章 色覚 (東北大学・栗木一郎)
第4章 明るさの知覚 (立命館大学・篠田博之)
第5章 運動視 (京都大学・蘆田宏)
第6章 立体視 (九州大学・伊藤裕之)
第7章 顔の知覚 (中央大学・山口真美)
第8章 眼球運動 (東京大学・村上郁也)
第9章 聴覚 (NTTコミュニケーション科学基礎研究所・柏野牧夫)
第10章 嗅覚 (筑波大学・綾部早穂)
第11章 多感覚相互作用:五感による世界の認識 (食品総合研究所・和田有史)
第12章 バーチャルリアリティ (豊橋技術科学大学・北崎充晃)
第13章 時間と注意の知覚 (千葉大学・一川誠)
第14章 赤ちゃんの知覚 (日本女子大学・金沢創)
第15章 美の知覚 (慶應義塾大学・川畑秀明)
(かつてなかったおいしそうな章立てと、編集者を除いて執筆陣がそうそうたる顔ぶれだなあ)
北岡明佳 (2011) 第1章 恒常性 北岡明佳(編著)、いちばんはじめに読む心理学の本⑤ 知覚心理学 ―心の入り口を科学する― ミネルヴァ書房 (pp.1-19)
北岡明佳 (2012) 第2章 錯視 北岡明佳(編著)、いちばんはじめに読む心理学の本⑤ 知覚心理学 ―心の入り口を科学する― ミネルヴァ書房 (pp.20-37)
書評
参考書
松田隆夫著 知覚心理学の基礎 培風館 2000 (ISBN4-563-05643-X) 定価3500円 正誤表

以下、参考書・・・北岡明佳著 現代を読み解く心理学 丸善出版 2005 (ISBN4-621-07544-6) 定価2100円

通読できます。知覚心理学の内容は、知覚心理学(第6章)、感覚心理学(第7章)、心理統計学(第8章)、芸術心理学(第15章)に分かれて書かれています。ですから、この本は、心理学概論の仮面をかぶった知覚心理学の本と言えましょう。
マクニック,スティーヴン・L.〈Macknik,Stephen L.〉 マルティネス=コンデ,スサナ〈Martinez‐Conde,Susana〉 ブレイクスリー,サンドラ〈Blakeslee,Sandra〉【著】 鍛原 多惠子【訳】 (2012) 脳はすすんでだまされたがる―マジックが解き明かす錯覚の不思議 角川書店 ISBN: 9784041101599 2100円

手品の知覚心理学の本です。
原書名: SLEIGHTS OF MIND:What the Neuroscience of Magic Reveals about Our Everyday Deceptions (Macknik,Stephen L.;Martinez‐Conde,Susana;Blakeslee,Sandra)
北岡明佳(監修) (2010) 別冊日経サイエンス174 知覚は幻 ラマチャンドランが語る錯覚の脳科学 日経サイエンス社 (2010年10月) (総ページ数は128ページ。北岡の著書ではないが、前文執筆あり)
表紙を拡大
北岡明佳著 錯視入門 朝倉書店 2010年 \3500 ISBN978-4-254-10226-0

教科書・・・松田隆夫著 知覚心理学の基礎 培風館 2000 (ISBN4-563-05643-X) 定価3500円 正誤表
北岡明佳著 人はなぜ錯視にだまされるのか? トリック・アイズ メカニズム カンゼン (2008年7月刊行) ![]()
北岡明佳 (2007) だまされる視覚―錯視の楽しみ方 化学同人
B6・196頁・定価1470円(本体1400円+税) ISBN978-4-7598-1301-2

脳科学の本ながら、知覚のことがしっかり出てくる参考書
藤田一郎 (2007) 「見る」とはどういうことか 脳と心の関係をさぐる 化学同人 ISBN978-4-7598-1307-4
藤田一郎先生(大阪大学教授)が、化学同人から好著を出版! 視覚について知りたければこれ、というべき書。 今までどうしてこのようなすばらしい本がなかったのだろう。 錯視の話題も多く、さらに「蛇の回転」のカラー図版入り(印刷がよくて、錯視量が多い)。 <2007年5月30日>

右は拙著
知覚心理学の辞書
![]() |
新編 感覚・知覚心理学ハンドブック | |
| 編者 | 大山 正・今井省吾・和氣典二 | |
| 判型・頁数 | 菊判・1784頁・挿図1000葉 | |
| 本体価格 | 50000円 | |
| 刊行年月日 | 1994年1月20日 | |
| ISBNコード | ISBN4-414-30503-9 | |

松田先生の「視知覚」と大山先生の「視覚心理学への招待」

このくらいは読みたい。
後藤倬男・田中平八編 錯視の科学ハンドブック 東京大学出版会 2005

後藤先生のこの本のHP 田中先生のHP(実物はもっと男前)
| 中溝幸夫 | 視覚迷宮 ―両眼立体視が生み出すイリュージョン― ![]() |
ブレーン出版 | 2003 |

泰羅雅登・中村克樹(監訳) (2006) カールソン神経科学テキスト 原書8版 ―脳と行動― 丸善出版 \22,000

ヨーハン・ヴォルフガング ・フォン・ゲーテ (著), 高橋義人 ・南大路振一・ 中島芳郎・前田富士男・ 嶋田洋一郎 (訳) (1999) 色彩論 【完訳版】 工作舎 \25,000
| 参考書 |
|


「立命館湖」
立命館大学衣笠キャンパスが水没したように見える。
Copyright A.Kitaoka 2004 (August 14)
ここが水没するようでは京都市街全域水没で~す。もちろん大阪も、神戸も。
実際の風景↓

「『実際の風景』と言っても本物ではないから錯視図だ」、と頑張ることもできる。
例 ルネ・マグリット「これはパイプではない」
だまし絵 (トロンプルイユ Trompe l'oeil)


本物

本物


「隠されたジャストローの台形錯視」
上の図の台形が下の図の台形よりも大きく見える(ジャストローの台形錯視)がこれにすぐには気づかないのは、影が物体の空間位置の知覚に及ぼす効果のデモンストレーション(影の位置が違うだけなのだが上図では球が浮いて見える)に注意が取られてしまうためであろう。
Copyright Akiyoshi Kitaoka 2006 (June 29)
形の恒常性(シアー変換とパース変換)
シアー変換↓

「視線方向が変わって見えない画像変換」
顔画像を横長・縦長あるいは平行四辺形の形に変換しても、視線方向はあまり変わって見えない。
Copyright Akiyoshi Kitaoka 2007 (December 19)
パース変換↓

「視線方向が変わって見える画像変換」
顔画像を平行四辺形以外の形(たとえば台形)に変換すると、視線方向はその奥行き手がかり示す方向に変わって見える。
Copyright Akiyoshi Kitaoka 2007 (December 19)
(下辺が上辺より短い台形の場合は例外かも)
変化の見落とし

「変わったのはどこ?」
2枚の画像が切り替わるたびに、1箇所だけ変化する。
Copyright Akiyoshi .Kitaoka 2006 (May 24)

ステレオフューズすれば一発でわかる(該当部分が視野闘争する)。
それでもわからない人向けの動画

「不変化」の見落とし

「変わらないのはどこ?」
Only one image does not change. Which is it?
2枚の画像が切り替わるたびに、8つのうち1つだけ変化しない。それはどこ?
Copyright Akiyoshi .Kitaoka 2007 (May 26)
ブランクなしならすぐわかる。
No change
is readily detected without blank.

ムーニーフェース(Mooney face) (Mooney, 1957)

この図は北岡作

上は隠し字

上は隠し字
2010年度と2011年度は文学部役職のため「知覚心理学」はお休み(蘭悠久先生が担当した)。2013年度は東山先生のご希望で東山先生がご担当された。
2012年度の知覚心理学のページ
2009年度の知覚心理学のページ
2008年度の知覚心理学のページ
2007年度の知覚心理学のページ
2006年度の知覚心理学のページ
2005年度の知覚心理学のページ
2004年度の知覚心理学のページ